Personal Data • Cinema • ML Pipeline

CineScope: Personal Cinema Analytics

Years of curated watchlists and a carefully built movie collection, transformed into a data project to understand my own cinematic patterns.

I have been exporting IMDb lists, maintaining spreadsheets, and building databases of my films for years. CineScope is where I turned that private obsession into a structured analytics pipeline: who I watch, which stories I return to, how my taste evolves across decades, and where the hidden gaps in my collection are.

2,000+ Films in personal dataset
30+ Visual analytics views
5+ External data sources

From Lifelong Lists to a Data Project

CineScope is built on top of years of curated lists: personal watch history, IMDb exports, local collection databases, and notes about what I love. I pulled all of this together, enriched it with external sources (IMDb, TMDb, OMDb, DoesTheDogDie, Wikidata), and created a pipeline that treats my own film life like a research dataset.

Instead of asking "what should I watch?", this project asks deeper questions: What do I actually watch? Where are my biases? Which genres and eras define my taste? Who shows up over and over again when I am not paying attention?

1. Single-Genre vs Hybrid Films

One of the most revealing patterns in my collection: the overwhelming preference for genre-blending over purity.

Key Finding: 91.7% Hybrid Preference

Only 189 films (8.3%) in my collection are "pure" single-genre entries. The remaining ~92% combine two or more genres.

Pure Drama

The Shawshank Redemption, Bicycle Thieves, All About Eve, Magnolia, Rebel Without a Cause

Pure Comedy

Bringing Up Baby, One Two Three, The Birdcage, Ferris Bueller's Day Off, Death at a Funeral

Pure Thriller

Wait Until Dark

Distribution Peak: 2-3 Genres

The bar chart shows the peak at 2-3 genres (~750 films with 2 genres, 800+ with 3). This represents my comfort zone:

  • 2 genres: Forrest Gump (Drama/Romance), V for Vendetta (Action/Sci-Fi)
  • 3 genres: Se7en (Crime/Drama/Mystery), Gremlins (Comedy/Fantasy/Horror)

Long Tail: 6-8 Genre Films

The collection includes several "genre soup" films where marketing applies every possible tag:

  • Xuxa Abracadabra: Action/Adventure/Family/Fantasy/Romance/Sci-Fi
  • The VelociPastor: Action/Adventure/Comedy/Fantasy/Horror/Sci-Fi
  • What Happened to Monday: Action/Crime/Fantasy/Mystery/Sci-Fi/Thriller
  • Annihilation: Adventure/Drama/Horror/Mystery/Sci-Fi

Interpretation: This distribution suggests a preference for films that mix tones - funny but sad, romantic but tense, scary but playful. Pure single-genre films are the exception rather than the rule.

2. Genre Evolution Across Decades

A stacked-area timeline showing how different genres rise and fall throughout cinema history as reflected in my viewing patterns.

Temporal Genre Distribution

Classic Era (1930s-1950s): Drama & Romance Rule

Drama, Romance, and Comedy form the dominant stripes. Horror, Action, and Sci-Fi remain small.

  • 1930s: City Lights, Modern Times, Bringing Up Baby, Gone with the Wind
  • 1940s: Casablanca, It's a Wonderful Life, The Philadelphia Story, His Girl Friday, Double Indemnity
  • 1950s: All About Eve, Sunset Blvd., Rebel Without a Cause

1960s-1970s: Tension and Horror Enter

Drama and Romance stay strong, but Thriller, Crime, and Horror start gaining thickness.

  • Psycho, The Exorcist, Wait Until Dark, Taxi Driver, The Godfather, The Texas Chain Saw Massacre

1980s: Genre Cinema Boom

Significant expansion in Horror, Action, and Sci-Fi - video-store energy meets classic sensibilities.

  • Gremlins, The Lost Boys, Hellraiser, Back to the Future, The Terminator, Ghostbusters

1990s-2010s: Maximum Volume

The tallest part of the graph. Drama and Comedy both reach 170-180 titles per decade. Thriller and Crime explode.

  • Drama/Comedy: Forrest Gump, Fight Club, Magnolia, American Pie 2, Muriel's Wedding, Amelie
  • Thriller/Crime: Se7en, Fargo, Reservoir Dogs, Run Lola Run, V for Vendetta, The Usual Suspects, Memento
  • Horror: Hellraiser, The Lost Boys, Saw, The Ring, Annabelle, Annihilation

2020s: Still Building

Early decade with lower numbers across all genres - the streaming era continues to accumulate.

Interpretation: Classic decades provide foundational dramas, romances, and comedies. More recent decades layer thriller, horror, and action onto that emotional base - but without abandoning the core genres.

3. Decade by Genre Heatmap Analysis

Granular view of genre distribution by decade, revealing specific comfort zones and exploration patterns.

Decade vs genre heatmap
Heat intensity showing viewing concentration by decade and genre

Notable Patterns by Decade

1930s-1950s Classic Foundation

Drama, Comedy, Romance dominate (40-60 titles each). Horror present but small (Cat People, early creature features).

City Lights, Modern Times, Casablanca, Double Indemnity, All About Eve

1980s Comedy Surge (73 titles)

Brightest comedy spot. Horror, Action, Sci-Fi gain significant space.

Ferris Bueller's Day Off, Hellraiser, Back to the Future, The Terminator, Firestarter

1990s Quality Core

Drama and Comedy ~170-180 titles each. Thriller and Crime grow sharply.

The Shawshank Redemption, Forrest Gump, Magnolia, Se7en, Fight Club, Fargo, Heat

2000s Peak Activity

Drama (318), Comedy (329), Romance (286), Thriller (168). Widest viewing decade - every genre represented.

City of God, V for Vendetta, The Ring, Saw, Enchanted

2010s Sustained Volume

Drama (252), Comedy (278), Romance (233), Thriller (205). Modern genre blends dominate.

Inception, Black Swan, Annihilation, What Happened to Monday, The VelociPastor, Elle

2020s Early Decade

Thriller (91) and Action (61) already stand out. The streaming/exploration era.

Vertical Spine: Drama, Comedy, and Romance form consistent pillars across all decades. From the 1980s onward, Thriller, Horror, Action, and Sci-Fi layer additional dimensions onto this foundation.

4. Actor Eras: Classic vs Modern

Distribution of actors by their primary active era, revealing the temporal composition of my viewing network.

Actor Era Distribution

~8,000 2000+ Actors

Dominates the count. Modern films have large ensembles and many credited roles. Includes casts from Inception, Annihilation, What Happened to Monday, and more.

~3,500 1980-1999 Actors

Stars and character actors from The Lost Boys, Gremlins, Fight Club, Se7en, Forrest Gump, Magnolia.

~2,000 Pre-1960 Actors

Foundational cinema faces: casts of City Lights, Modern Times, Casablanca, It's a Wonderful Life, Bicycle Thieves, Double Indemnity, Bringing Up Baby.

~1,000+ 1960-1979 Actors

Performers from Psycho, The Exorcist, Taxi Driver, The Godfather, Kramer vs. Kramer.

Interpretation: On the film side, the collection is fairly balanced between classic and modern. On the actor side, the network skews heavily modern because: (1) more films are from 1980s onward, and (2) recent productions have bigger, more international casts. The viewing connects Charlie Chaplin and Ingrid Bergman-era figures through to modern ensembles, but numerically, most screen time is with post-2000 performers.

5. Top Actors: The Performers Who Define My Collection

This chart reveals the actors I have watched most frequently, regardless of rating. These are the faces that define my viewing identity.

My Signature Performer: Vincent Price

Vincent Price leads with 30 films (avg rating 6.61) - my definitive horror icon and the clearest signal of what "comfort viewing" means to me.

  • The Abominable Dr. Phibes, Theatre of Blood, House of Wax
  • House on Haunted Hill, The Fly (1958)
  • The Masque of the Red Death (Poe adaptations)
  • The Great Mouse Detective (even voice roles appear)

The 80s-90s Action Icons

Arnold Schwarzenegger 25 films Terminator, Terminator 2, Total Recall, Predator
Sylvester Stallone 24 films Rocky, Rambo, Demolition Man
Jean-Claude Van Damme 24 films Universal Soldier, Bloodsport, Timecop
Bruce Willis 22 films Die Hard, The Fifth Element, Sixth Sense, Looper

Golden Age Royalty

Cary Grant 23 films Bringing Up Baby, His Girl Friday, North by Northwest
Humphrey Bogart 19 films The Maltese Falcon, Casablanca, Key Largo

Modern Prestige Performers

Denzel Washington 23 films Training Day, Man on Fire, Fences, American Gangster
Morgan Freeman 21 films Shawshank Redemption, Se7en, Bruce Almighty
Keanu Reeves 20 films The Matrix, John Wick, Constantine

The Comfort Viewing Crew

Adam Sandler 14 films Grown Ups, Click, The Waterboy, Jack & Jill
Eddie Murphy 14 films Coming to America, Norbit, Haunted Mansion
Jason Statham 21 films Crank, The Transporter, Mechanic

Pattern: I balance "prestige cinema" with unabashed entertainment - Sandler, Price, and Denzel Washington coexist in the same dataset.

6. Top Actresses: The Women Who Shape My Viewing

A significant commitment to Hollywood's leading women, particularly in romance and comedy, spanning from Golden Age legends to contemporary performers.

Leading Presence: Julianne Moore (21 films)

Moore sits at the intersection of emotional drama, romance, and psychological tension - exactly where my favorite tones converge.

  • Magnolia, The Hours, Children of Men
  • Crazy, Stupid, Love, Still Alice

Classic Hollywood Legends

Carole Lombard Screwball comedy - My Man Godfrey, To Be or Not To Be
Katharine Hepburn Strong-willed icons - The Philadelphia Story, Bringing Up Baby
Audrey Hepburn Wholesome romance - Roman Holiday, Breakfast at Tiffany's
Bette Davis Fierce drama - All About Eve, Whatever Happened to Baby Jane?

Modern Leading Women

Sandra Bullock 18 films Miss Congeniality, Speed, The Blind Side
Emma Thompson 16 films Love Actually, Sense and Sensibility
Julia Roberts 16 films Pretty Woman, Notting Hill
Cameron Diaz 15 films Shrek, The Holiday, Charlie's Angels

Hidden Favorites Detected

Patricia Clarkson (14 films, very high avg rating 6.71) - prestige supporting characters signal a sophisticated viewing pattern.

Scarlett Johansson & Anne Hathaway - consistent engagement with top contemporary actresses.

Pattern: I watch women who define eras, emotionally and culturally - from screwball comedy pioneers to modern rom-com royalty.

7. Actor Diversity Across Decades

This metric estimates how many unique performers I encounter per 100 films across different decades.

Diversity Patterns by Era

1910s-1920s Spike

High diversity from silent-era and early talkie films where casts change frequently - Chaplin shorts, Laurel & Hardy, early horror experiments.

1960s Peak

Aligns with major ensemble works in my collection:

  • The Godfather, The Great Gatsby, Rosemary's Baby, Bonnie and Clyde

2000s Dip

Heavy franchise viewing reduces cast diversity - repeated performers across:

  • MCU, X-Men, Jurassic Park sequels
  • Long-running comedy/action ensembles

2020s Rise

More streaming originals, international casts, and indie experiments - a growing curiosity about global cinema.

Pattern: Franchise loyalty in the 2000s created cast repetition, while recent streaming-era exploration has increased performer diversity.

8. Actors in My Highest-Rated Films

This chart focuses on performers whose films I rate highest on average - revealing which actors correlate with quality in my personal assessment.

Quality Indicators

Classic Theatre-Trained Ensemble Drama

Several top performers share a common source - 12 Angry Men influence:

Ed Begley
Lee J. Cobb
Jack Klugman
E.G. Marshall
Joseph Sweeney

Anime Presence

Japanese voice actors from highly-rated animated works:

Mamoru Miyano Death Note
Keiji Fujiwara Death Note

UK Drama & Historical Pieces

Christina Cabot
Anna Chancellor

Pattern: Strong character actors and tight ensembles correlate with my highest ratings - I reward acting craft over big-budget spectacle.

9. Career Arcs & Actor Trajectories

This timeline shows both career length and the years I have engaged with different performers, revealing intentional film history exploration versus nostalgia-driven viewing.

Career Span Analysis

Classic Legends I Actively Seek Out

Vincent Price 1930s - 1990s career span
Cary Grant 1930s - 1960s career span
Bess Flowers Hollywood's most credited extra - classic cinema royalty

I do not watch classics "by accident" - there is an intentional film history appetite.

Action Titans of the 80s to Present

Arnold Schwarzenegger
Sylvester Stallone
Jean-Claude Van Damme
Bruce Willis

These careers align with teenage years and comfort nostalgia viewing patterns.

Modern Dramatic Anchors

Denzel Washington Active 1980s - present
Morgan Freeman Active 1980s - present
Julianne Moore Active 1990s - present

Core performers for contemporary taste - bridging prestige and accessibility.

Pattern: The timeline reveals a split between intentional classic exploration (Bogart, Cary Grant, Bess Flowers) and era-specific comfort viewing (80s-90s action stars).

10. Career Length Distribution by Gender

Prevalence of Brief Careers

The largest bars for both groups fall in the 0-5 years range. A significant number of performers in my films appear in one movie and disappear, or act intensively for a couple of years before leaving the industry.

Examples of these brief appearances:

  • Background students in college slashers
  • One-scene characters in rom-coms
  • Child actors in family films who never act again

Long Careers Skew Male-Labeled

As bars move right (10, 20, 30, 40+ years), male-labeled performers maintain higher counts. When I watch very long-spanning careers, I typically encounter:

  • Vincent Price: 1930s to 1980s in horror and thrillers
  • Cary Grant: Early 1930s screwball comedies to 1960s Hitchcock
  • Morgan Freeman, Arnold Schwarzenegger: Active from 80s to 2010s

Female-labeled performers with truly long spans exist, but fewer reach 30-40+ year stretches. This reflects structural industry issues: narrower age windows for leading roles, fewer opportunities after a certain age, and less consistent pivots to character acting.

Pattern: I encounter Christopher Plummer or Anthony Hopkins in many later films, while older actresses appear less often or primarily in supporting "mother/grandmother" roles - a reflection of industry bias, not personal preference.

Actor Preferences Summary

Synthesizing what the performer data reveals about my viewing identity.

Classic Horror & Camp

Vincent Price at #1 by significant margin - classic horror is one of my deepest personal traditions.

Action Icon Loyalty

Arnold, Stallone, JCVD, Willis - I enjoy action when the lead has icon energy, not just explosions.

Female-Led Storytelling

Moore, Bullock, Thompson, both Hepburns, Davis - women who define eras emotionally and culturally.

Strong Ensemble Reward

Many 12 Angry Men actors have top average ratings - tight casts over spectacle.

Active Film History

Bogart, Cary Grant, Bess Flowers - intentional classic cinema exploration.

Prestige + Fun Balance

Sandler + Price + Denzel in the same dataset - I do not restrict viewing to "serious" cinema.

11. Directors: The Filmmakers Who Define My Collection

This chart shows directors by presence in my watch history - not quality, but commitment to following their work.

Alfred Hitchcock Dominates (31 films)

Hitchcock is far above everyone else - an auteur-level commitment spanning his entire career:

  • Classics: Psycho, Rear Window, Vertigo, North by Northwest
  • British period: The 39 Steps, The Lady Vanishes
  • Psychological: Notorious, Rebecca, Dial M for Murder

If Hitchcock directed it, I am interested - even the minor works.

Classic Hollywood Cluster

George Cukor 10 films The Philadelphia Story, Holiday, My Fair Lady
Ernst Lubitsch 10 films Trouble in Paradise, Ninotchka, To Be or Not To Be
Billy Wilder 9 films Sunset Blvd., Double Indemnity, Some Like It Hot
William Wyler 9 films The Best Years of Our Lives, Roman Holiday, Ben-Hur
Howard Hawks 7 films Bringing Up Baby, His Girl Friday
Frank Capra 7 films It's a Wonderful Life, Mr. Smith Goes to Washington
Charles Chaplin 7 films City Lights, Modern Times, The Gold Rush

Comedy & Feel-Good Directors

Garry Marshall 10 films Pretty Woman, Runaway Bride, Valentine's Day
Rob Reiner 9 films When Harry Met Sally..., The Princess Bride, Misery
Ivan Reitman 9 films Ghostbusters, Kindergarten Cop, Twins
Shawn Levy 8 films Night at the Museum, Date Night, Free Guy

Hong Kong Martial Arts Cinema

Liu Chia-Liang 9 films The 36th Chamber of Shaolin, Heroes of the East
Chang Cheh 9 films Shaw Brothers martial arts classics

Not just Western action - I also chase kung-fu craftsmanship.

B-Movies & Cult

Roger Corman 8 films Low-budget genre king - exploitation/cult corner of film history

Pattern: I follow directors across eras - from Chaplin to Hitchcock to Corman to Levy - treating them as recurring "authors" in my viewing habits.

12. Director Quality: Who Delivers My Highest Ratings

Moving from "who I watch most" to who scores best - directors with minimum 5 films, ranked by average rating.

Top of the Quality Table

Christopher Nolan ~8.3 avg (5 films) The Dark Knight, Inception, Interstellar, Memento, The Prestige
Charles Chaplin ~8.26 avg (7 films, very low σ) City Lights, Modern Times, The Gold Rush - extremely consistent
David Fincher ~7.98 avg (6 films) Se7en, Fight Club, Gone Girl, Zodiac

Classic Comfort Directors = Quality Guarantees

Billy Wilder, Howard Hawks, William Wyler, Frank Capra all cluster in the high-7s range with many films each. These are not "homework" watches - they consistently deliver.

Modern Storytellers

Robert Zemeckis Back to the Future, Forrest Gump, Cast Away
Steven Spielberg Jaws, Schindler's List, Jurassic Park
Ethan & Joel Coen Fargo, No Country for Old Men, The Big Lebowski
Richard Linklater Before Sunrise trilogy, Boyhood, Dazed and Confused

These cluster slightly below Nolan/Chaplin but still above 7 on average.

Pattern: My quality list balances silent-era genius (Chaplin), noir & classic comedy (Wilder, Hawks, Capra), 80s/90s mainstream (Zemeckis, Spielberg), and edgier voices (Coens, Fincher, Nolan). I reward strong authorial control whether in black-and-white or dream-within-a-dream blockbusters.

13. Director Diversity Over Decades

How many unique directors appear in my collection per decade - tracking the evolution from curated classics to exploratory viewing.

Decade-by-Decade Evolution

1910s-1970s Curated Classics

14-60 directors per decade. Selected classics rather than exhaustive viewing. Studio systems meant the same names repeated (Hitchcock, Hawks, Capra, Chaplin).

1980s ~135 Directors

VHS, cable, and global cinema spread. Big names (Ridley Scott, John Carpenter, James Cameron) plus smaller horror, comedy, and action directors.

1990s ~289 Directors

Independent film boom, world cinema becomes more accessible. Much broader sampling.

2000s Peak: ~492 Directors

DVD era + internet recommendations + massive increase in film production. Widest decade of exploration.

2010s ~447 Directors

Slightly lower but still huge. Streaming era maintains breadth.

2020s ~193 Directors (Growing)

Early decade - number still increasing.

Pattern: My viewing evolved from curated classics to an exploratory, global mix. I am not stuck in a nostalgic bubble - I keep meeting new voices.

14. Studios: The Production Houses Shaping My Collection

Top 20 production companies by film count, along with average ratings - revealing which studios deliver consistent quality.

The Big Five Dominate

Each has dozens to hundreds of films in my history (avg scores ~6.5-6.8):

Universal Pictures
Warner Bros. Pictures
Paramount Pictures
Columbia Pictures
20th Century Fox
Metro-Goldwyn-Mayer (MGM)

My watch history is essentially a tour through the canon shaped by major American studios - from classic musicals and film noir to modern franchises like The Matrix, Fast & Furious, Jurassic Park, and Harry Potter.

Mid-Budget & Specialty Players

New Line Cinema Horror & genre: A Nightmare on Elm Street, Lord of the Rings partnership
Lionsgate Modern horror and action: Saw, mid-2000s thrillers
Miramax 90s/00s indie prestige: Tarantino, festival films
Touchstone Pictures Disney's adult label: 90s comedies and dramas
Dimension Films Thrillers and horror

Average ratings ~6.0-6.7. I use these as genre delivery systems rather than quality marks.

UK & International Standouts

Working Title Films ~7.0 avg (highest) Notting Hill, Love Actually, Four Weddings, About Time
StudioCanal French/European: Tinker Tailor Soldier Spy, animation, genre pieces

Pattern: Within a mostly US-studio diet, I carve out a special place for UK/European co-productions, especially in romance and character-driven stories. Working Title delivers my highest studio average.

15. Oscar Timeline: How Award-Literate Is My Collection?

For each decade, tracking Best Picture winners, other Oscar-winning films, and nominees - revealing how I engage with the industry's official markers of importance.

Living in the World of Nominees

In most decades, the brown "nominee" bars tower over the winner bars. I am not just ticking off Titanic and Ben-Hur - I am also watching films like Saving Private Ryan, La La Land, and Star Wars: A New Hope, which piled up nominations but did not necessarily win Best Picture.

The 1990s & 2000s: My Big Awards Decades

These decades explode in height - heavy on nominees, healthy on winners:

1990s Highlights Forrest Gump, The English Patient, Saving Private Ryan, Schindler's List
2000s Highlights Chicago, No Country for Old Men, The Hurt Locker, plus prestige TV crossover

Classic Oscar History Still Present

Earlier decades show smaller but very real bars - I travel back to the canonical milestones:

1930s-1940s It Happened One Night, Gone with the Wind, Casablanca
1950s-1960s All About Eve, Doctor Zhivago, My Fair Lady, The Sound of Music

Pattern: I like to know what the industry considered important across many eras, but I do not restrict myself to only the official "winners." The nominees often capture more interesting creative risks than the safe consensus picks.

16. The Award Monsters in My Collection

The 20 most-awarded titles in my data - total wins across Oscars and other awards, nominations, and Best Picture status.

The Epic Event Films

Ben-Hur (1959) 11 wins Huge nominations pile - classic epic spectacle
Titanic (1997) 11 wins Long, spectacular, technically ambitious

I clearly have patience for big, sweeping cinema that demands commitment.

Prestige Musicals & Literary Adaptations

My Fair Lady (1964) 8 wins, 13 noms
The Sound of Music (1965) 5 wins, 13 noms
Doctor Zhivago (1965) 5 wins, 13 noms
The English Patient (1996) 9 wins, 78 noms

Emotional, character-driven, technically polished - I stack several of this type.

American Prestige Dramas

All About Eve, The Apartment, Out of Africa, Forrest Gump, and The Sting - that combination of Hollywood craft, recognizable stars, and just enough emotional punch to generate awards buzz.

Prestige TV in the Mix

Ally McBeal (1997) Serious win/nomination counts at the Emmys
Six Feet Under (2001) Heavily decorated in TV awards

I track prestige TV too - I care about storytelling, not just format.

Pattern: My most-awarded titles cluster around big, emotionally resonant, canonized works - epics, musicals, heavy dramas - plus prestige TV. I have built a very "award-literate" library.

17. How the Main Rating Sites See My Films

Comparing IMDb, TMDB, Rotten Tomatoes, and Metacritic across average rating, coverage, distribution, and consistency.

Coverage Gaps Reveal My Taste

IMDb & TMDB ~99-100% Coverage

Almost blanket coverage. Any random film I have watched is essentially guaranteed a score.

Rotten Tomatoes ~81% Coverage

Missing ~19% - likely older, obscure, exploitation, or non-US titles I dig up that mainstream critics do not log.

Metacritic ~70% Coverage

Missing ~30% - the most selective source, dropping off for anything outside curated mainstream.

Average Scores: Comfortable Middle Ground

IMDb ~6.45
TMDB ~6.47
Rotten Tomatoes ~5.93 (0-10 scale)
Metacritic ~5.63

My watchlist is not full of universally adored masterpieces nor pure trash - it is a mixture of mid-tier, cult, and good-but-not-sacred titles. Pairing Titanic with Problem Child or So Undercover gives that comfortable 6-7 zone.

Distribution Behavior

IMDb/TMDB: Compact, smooth distributions with most scores in the 5-8 range. They behave like crowd averages.
Rotten Tomatoes: Very stretched violin, pushing films toward very high or very low scores (~2.8 std dev). Critics mark things clearly "fresh" or "rotten," exaggerating extremes.
Metacritic: Also harsh and spread out, though less extreme than RT.

Pattern: For something like La La Land, all four sources probably group in "good to excellent." But for Love, Weddings & Other Disasters or I Spit on Your Grave 2, IMDb/TMDB might say "5-6, meh" while RT/Metacritic could slam it or oddly elevate it - creating a messier picture.

18. Where Critics Completely Disagree

The top 20 films with the largest rating gap between highest and lowest source, plus the overall variance distribution.

The Hall of Chaos

Movies where critics and crowds cannot agree at all - gaps of 7-8+ points:

Light Comedies & Mid-Budget Genre Films

So Undercover One site finds it charming (6-7), another treats it as disposable (2-3)
Finders Keepers
The Perfect Man
Because I Said So

Cult / Trash / Exploitation Tension

I Spit on Your Grave 2 Horror audiences on IMDb appreciate cult value; RT/Metacritic critics rate very low
Death Warrant
Inferno
Naked

Family / Kids Titles

Problem Child Parents nostalgic on IMDb vs. critics horrified on Metacritic
Yours, Mine & Ours
The Wedding Date

Overall Pattern

The histogram shows most films have low variance (under ~2 points) - the sites broadly agree. A smaller tail stretches to very high variance (10+), occupied by those controversial films above. Mean variance ~1.40, median ~0.77 - disagreement is the exception, not the rule, but when it happens, it is dramatic.

Pattern: This list reveals a part of my taste that is not "Oscar canon" - I like wandering into messy, uneven, sometimes trashy, sometimes secretly fun territory where the critical world cannot decide.

19. My Relationship with Rotten Tomatoes

Zooming in specifically on RT's "freshness" system - score distribution, correlation with IMDb, fresh vs rotten split, and coverage.

Score Distribution

RT scores (converted 0-10) spread fairly widely with a mean around 5.93 - just below the "fresh" threshold (traditionally 6.0/60%). My collection leans slightly toward films that critics consider okay or good, but not universally beloved. Pairing Titanic or Ben-Hur with Problem Child or A Thousand Words gives that mixed picture.

Correlation with IMDb (r ~ 0.77)

A strong positive correlation:

  • When IMDb audiences like a film (The Apartment, All About Eve), RT critics usually like it too
  • When IMDb is lukewarm (The Contract, Two of Hearts), RT tends to be lukewarm or worse

Although outliers exist, I generally watch films where audience and critic sentiment move together.

Fresh vs Rotten Split

~53-54% Fresh (>= 60%)

Tiny tilt toward critic-approved titles like La La Land, The Sound of Music, Saving Private Ryan

~46% Rotten (< 60%)

Totally game for something RT considers "rotten" like So Undercover or A Thousand Words

Coverage: ~81%

The missing ~19% are likely the very obscure, older, or niche films: pre-Code oddities, trash horror, early B-movies, or international titles that never got mainstream RT coverage. That gap is actually part of my identity - I am not confined to what current critics happen to track.

Pattern: My library is almost split in half between fresh and rotten, with a tiny tilt towards critic-approved titles. But nearly half of what I watch RT considers "rotten" - and I watched them anyway.

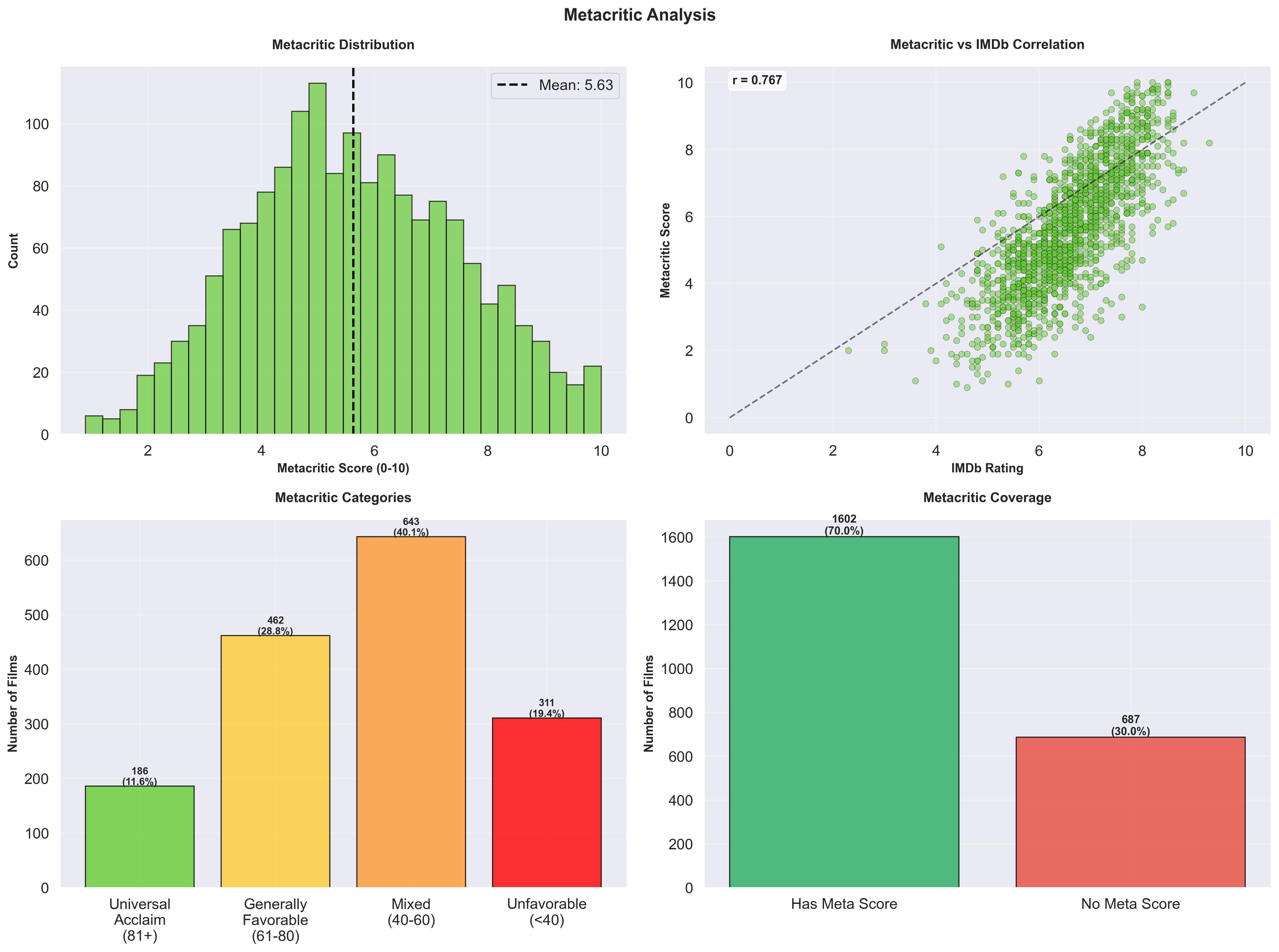
20. My Alignment with Metacritic

How "Meta-core" is my collection? Metacritic aggregates professional critics into a weighted score - here is how my viewing aligns with their consensus.

Score Distribution

Most of my films sit in the 4-8 Metacritic range (40-80/100), with the bulk around 5-7. Films like The English Patient or Saving Private Ryan fit right in the heart of my collection: neither obscure disaster nor ultra-niche masterpiece, but "serious critical cinema."

Correlation with IMDb

The scatterplot forms a tight diagonal cloud: when Metacritic goes up, IMDb usually goes up too. If I like a film with 8.5 on IMDb, chances are its Metascore is also solid - think The Shawshank Redemption or Cinema Paradiso.

Where points drift away from the diagonal are the "critics vs crowd" divergences - a comfort film that IMDb users rate 7.5 but Meta holds at 55, or a formally brilliant movie critics adore (Meta 85+) while the public is more lukewarm.

Metacritic Categories

Universal Acclaim (81+)

City of God, Double Indemnity, 12 Angry Men, Modern Times, It's a Wonderful Life, Casablanca, Inception - the "critically bullet-proof" ones

Generally Favorable (61-80)

A big chunk: Forrest Gump, Fight Club, The Sting, La La Land

Mixed (40-60)

The largest bar - "mid-Meta" cinema that critics see as imperfect or divisive. Romantic comedies and genre films that audiences like more than critics.

Unfavorable (<40)

A non-tiny number: my willingness to watch So Undercover or Problem Child shows I actively explore trash/guilty-pleasure territory, not only "respectable" options.

Coverage: ~70%

About 30% of my films have no Metascore - often older classics that never got a formal Meta aggregation, TV movies, international titles, or niche genre releases. I regularly go beyond the "Metacritic canon."

Pattern: I am not a Metacritic snob. I watch across all four quality buckets, with a special tolerance for the "mixed" and "unfavorable" zones that critics dismiss.

21. Personalized Recommendations: What My Own Data Suggests

A prototype recommender built from my own films - each block takes a "reference" film and lists the most similar titles in my dataset based on genre, decade, tone, and ratings.

If I Love The Shawshank Redemption

The system pairs it with:

The Elephant Man Emotionally intense, character-driven, moral ambiguity
The Goodbye Girl Softer tone but similar "human resilience + relationships" vibe

When I am in a Shawshank mood, these are other character-focused, critically solid dramas waiting on my shelf.

If I Am Into The Host (2006)

I get a cluster of films that mix genre with emotional depth - thriller + family drama, fantastical elements + social commentary. The system says: "You like horror/sci-fi where the monster is not the only problem - here are others with that same layered structure."

If I Choose Den of Thieves: Pantera

Recommendations trend toward crime/action heist energy: films like Battleship or My Mom's New Boyfriend (less heist, more caper) echo my attraction to slick, slightly messy genre cinema.

If I Click Where is Coletti? (1915)

The list suggests early-cinema comedies with similar runtime and silent slapstick DNA. "If you are already venturing into 1910s comedy, here are the neighbors on that same dusty shelf."

For 27 Dresses

The system groups rom-coms with similar structure and mood - "On days when you rewatch 27 Dresses, these are your other wedding/identity/work-rom-com comfort picks."

Pattern: This figure is less about what critics think and more: "If I trained an algorithm on my own taste, what would it tell Future Me to watch next?"

22. Collection Gaps: Where to Expand Next

My "where to explore" map - highlighting genre-decade pockets with high potential based on what I already love but have barely touched.

High-Quality Gaps

Genre-decade pockets with high average ratings but very few films watched:

Documentary (2010s) Tiny count but average ratings above 8.2. If I liked Citizenfour or The Act of Killing-type docs, I should watch more here.
Animation (1990s) Only a handful of titles but I rate them strongly - watching the top layer (Toy Story, The Lion King, Beauty and the Beast) but not the deeper cuts.
Crime (1940s & 1960s) Noir and classic crime. I have dipped in with Double Indemnity or The Big Sleep, but I am under-using my sweet spot.

Era Gaps

Decades where certain genres are almost missing:

Adventure (1930s-1950s) Only a few titles. If I like The Adventures of Robin Hood or The Thief of Bagdad, there is a whole world of pre-blockbuster adventure I have not mined.
Horror (1930s & 1940s) Beyond The Bride of Frankenstein or House on Haunted Hill, vintage horror is still a niche corner in my history.
Crime/Drama (1920s) Practically blank - silent-era drama/crime is more a curiosity than a habit... so far.

Directors to Explore Deeper

Directors I rated very highly but have only seen 1-3 films from:

Vittorio De Sica If I have watched Bicycle Thieves or Umberto D., my high rating says his style works for me. Go further into Italian neorealism.
Guillermo del Toro Maybe Pan's Labyrinth or The Devil's Backbone: scores say "Yes please," count says "barely explored."
Leonid Gaidai, Jean-Pierre Jeunet, Frank Darabont High-impact per film. I am under-sampling directors whose work I already love.

Runtime Diversity Gaps

I might watch Fantasy (Standard length) a lot, but Fantasy (Short) or Crime (Epic-length) almost never. If I enjoy Once Upon a Time in the West or Seven Samurai, more epic-length genre cinema would suit me.

Pattern: This is a strategic watchlist generator - it tells me where the low-hanging fruit for future favorites is hiding.

23. Collection Diversity Score: The Dashboard on a Single Slide

Three dimensions of diversity - genre, era, and quality range - summarizing how varied my personal cinema universe really is.

Genre Diversity: ~77% (23 Unique Genres)

I do not just oscillate between "Drama, Comedy, Action." I also touch Documentary, Film-Noir, Biography, Animation, Short, and more. In practice, my viewing swings from Ben-Hur to Six Feet Under (series), from screwball comedies to war epics, from experimental horror to family films.

Era Diversity: ~82% (12 Decades)

My films stretch from the 1910s (e.g., Where is Coletti?) all the way to the 2020s, with substantial presence across silent era, Golden Age, New Hollywood, 80s/90s, and contemporary cinema. I am not just "a 90s kid who watches 90s movies" - I am actively traveling across film history.

Quality Range: ~76% (Spread of Ratings)

My collection purposely includes:

Canon Masterpieces The Shawshank Redemption, City of God, Modern Times
Critically Mixed Films The Wedding Date, Death Warrant
Outright Critical Flops So Undercover, A Thousand Words

I explore the whole spectrum, not just the "Top 250" safety zone.

Pattern: My collection is broad in what it watches, when it watches, and how "good" those films are supposed to be. Three dimensions roughly balanced.

24. Outlier Detection: My Hall of Anomalies

Films that are weird compared with the rest of my watch history - rating outliers, extreme runtimes, and unusual eras that defy normal patterns.

Outlier Types

Rating Outliers (~4%)

Films way higher or lower than my usual scores - giving 9+ to something most people treat as minor, or 3 to an accepted classic.

Extreme Runtime (~4-5%)

Ultra-long or ultra-short: epics like Ben-Hur and Gone with the Wind, or very short experimental/early titles.

Unusual Era (~8-9%)

Films whose decade is rare in my collection - stray 1910s silent comedies or non-Western 1940s films.

Sample Outlier Films

High-impact films, often classics or foreign masterpieces:

Emotionally Devastating Non-English Cinema Paradiso, Life Is Beautiful, City of God - stand out in both rating and context
Structurally Perfect Classics Double Indemnity, 12 Angry Men, Casablanca, Once Upon a Time in the West - treated as "above the usual pattern"
Older Emotional Outliers Modern Times, City Lights, It's a Wonderful Life - very high ratings in decades where I have watched relatively less
Gravitational Centers of Modern Film Inception, Fight Club, The Shawshank Redemption, Forrest Gump, Saving Private Ryan

Pattern: These are films that, according to the math, hit me (or the broader audience) in a way that normal genre/decade patterns cannot fully explain. They often become new favorites.

25. High-Level Patterns: What My Collection Looks Like If I Squint

A 4-in-1 panel zooming out to see genre-decade heatmaps, runtime-quality patterns, top combinations, and average quality by genre.

Genre x Decade Heatmap

Comedy in the 2000s is clearly my most populated cell - every rom-com, mainstream comedy, and light film I have watched from that decade: 27 Dresses, The Wedding Date, Because I Said So, etc.

Drama and Comedy in the 1990s-2010s also glow bright: Forrest Gump, Fight Club, Saving Private Ryan, La La Land, Star Wars: Episode IV (for 70s), and lots of contemporary titles.

Earlier decades (1930s-1950s) show smaller but visible islands: classic comedies and dramas like It Happened One Night, All About Eve, Kramer vs. Kramer, The Sound of Music, Doctor Zhivago.

Runtime x Quality Pattern

Standard Length Most of my films, with a mix of "Good" and "Great" ratings - Titanic, Ben-Hur, Star Wars, My Fair Lady
Short Films Surprisingly high "Great/Masterpiece" concentration - curated festival winners or famous experimental pieces
Epic Length Small but skewed toward higher quality: when I commit to 3+ hours (Once Upon a Time in the West, Ben-Hur, Gone with the Wind), it is usually a classic, not a random gamble

Top 15 Genre-Decade Combinations

Comedy (2000s) is clearly #1, my comfort zone. Comedy (2010s) and Comedy (1990s) still strong - "comedy from my own lifetime" is a huge pillar. Action (2000s/2010s) and Drama (2000s/2010s) also rank high - superhero cinema to prestige dramas.

Average Quality by Genre

Documentary ~7.9 avg Top of the list - when I watch docs, I am usually impressed
Biography & Animation Close behind Biopics and well-crafted animated films rarely disappoint me
Film-Noir, Crime, Drama ~6.8-7.0 Classic and serious tastes generally pay off
Comedy ~6.3 Slightly lower because I watch so many that mediocre ones drag the average down - my guilty pleasures live here

Pattern: My collection leans toward recent decades but with consistent roots in the classic canon. I reward documentaries and biographies most, and am slightly harsher (or more adventurous) with comedy.

26. Quality Distribution Per Genre: How Messy Is Each Genre?

Boxplots showing the spread of IMDb ratings for each genre - revealing where I find consistency and where I surf chaos.

Drama

Median around 6.7-6.8 with a long tail up to 9+ (The Shawshank Redemption, 12 Angry Men, City of God, Forrest Gump). I consistently find strong dramas, but I also include weaker ones, so the lower whisker drops toward 4s and 3s.

Comedy & Romance

Slightly lower medians (~6.2-6.4). Very wide spread - from painful 3-ish romantic comedies or broad comedies (Problem Child, National Lampoon's Senior Trip) to well-loved pieces like La La Land, The Apartment, Some Like It Hot. I experiment a lot here, not only chasing "the best of the best."

Horror & Action

Broadest spreads: some very high peaks (classic horror like The Exorcist-type films, smart action like Die Hard) but many low-rated genre entries. I am clearly open to trash, cult, and B-movie horror/action, not just prestige entries.

Crime, Mystery, Sci-Fi, Fantasy, Adventure, Family

Medians in the 6.3-6.8 band. Crime and Mystery skew slightly higher, reflecting my love for tight narratives (noir, thrillers). Family films have a moderate spread - lots of average ones, with a few outstanding hits (Pixar, classic family adventure) pulling the upper tail.

Pattern: I am not a perfectionist. I am willing to watch across the quality spectrum, but different genres have different "risk profiles." Documentaries and biographies are safe bets; comedy, horror, and action are where I surf chaos.

Under the Hood

CineScope is built as a modular Python pipeline combining IMDb non-commercial datasets, APIs (TMDb, OMDb, DoesTheDogDie, Wikidata), and a dense network of CSV, Parquet, and SQLite layers. The same tools I use in research are pointed at something extremely personal: my own watch history and collection.

The repository shows the full pipeline: data ingestion, enrichment scripts, analysis batches, visual exports, and an early UI prototype exploring search and browsing on top of the enriched data.